Latihan soal integral tak tentu.
Jika kamu sedang mencari artikel latihan soal integral tak tentu terlengkap, berarti kamu telah berada di blog yang benar. Yuk langsung saja kita simak penjelasan latihan soal integral tak tentu berikut ini.
Materi Integral From slideshare.net
Anda dapat menggunakannya sebagai bahan belajar dan untuk bahan latihan saat. Rangkuman Berisi intisari dari materi integral tak tentu fungsi aljabar h. Ingat definisi integralnya kalau ada color red f x ax n maka displaystyle color red int f x dx frac a n1. Integral tentu adalah integral yang diberi batas atas dan bawah.
Jika diketahui akar tiga tiga.
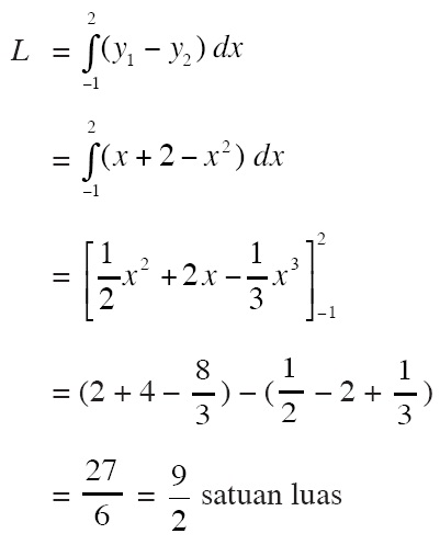
Oleh karena itu integral disebut juga anti diferensial. Menentukan Luas Daerah yang Terletak Dibatasi Kurva y fx dan sumbu-x. Soal Latihan Sifat Integral Tak Tentu. A b f x g a d x g a a b f x d x. Penyelesaian soal pembahasan.
Source: slideplayer.info
Contoh Soal Integral Tak Tentu Sederhana. Soal Integral ini sudah dilengkapi dengan pembahasan lengkapnya. Contoh Soal dan Pembahasan. Oleh karena itu integral disebut juga anti diferensial. Ingat definisi integralnya kalau ada color red f x ax n maka displaystyle color red int f x dx frac a n1.
2012-10 halaman 2 07.
Soal No6 Tentukan hasil dari. Donbull Apr 17 2021. Menentukan Luas Daerah yang Terletak Dibatasi Kurva y fx dan sumbu-x. A b f x d x g a a b f x g a d x.
Source: encrypted-tbn0.gstatic.com
Oleh karena itu integral disebut juga anti diferensial. Anda dapat menggunakannya sebagai bahan belajar dan untuk bahan latihan saat. Untuk lebih jelasnya dibawah ini diberikan 10 contoh soal integral tak tentu dan penyelesaiannya. Rumushitung akan menilai kalian apakah kalian sudah paham benar materi integral ini.
Source: kumpulansoal-113.blogspot.com
Fungsi ini belum memiliki nilai pasti hingga cara pengintegralan yang menghasilkan fungsi tidak tentu ini disebut integral tak tentu. Sampai di sini kita telah selesai membahas materi pelajaran Matematika tentang topik sifat-sifat integral tak tentu. Pertama menggunakan sifat dan yang kedua menggunakan trik cepat. 2012-10 halaman 2 07.
Source: duniabelajar-3.blogspot.com
Semoga dengan latihan soal di atas bisa bermanfaat untuk meningkatkan kemampuan dalam menyelesaikan soal-soal integral. Soal No6 Tentukan hasil dari. Hasil integral tak tentu 12 3 6x 2 x dx. Tentu-kan persamaan kecepatan vt jika.
A b f x g x d x. Agar kamu semakin mahir coba selesaikan soal dibawah ini menggunakan dua cara. Seandainya Anda merasa perlu untuk mempelajari ulang materi pelajaran ini silakan melakukannya. Sebelum masuk pada contoh soal dan pembahasannya saya mengulas sedikit tentang pengertian dari integral tentu dan apa saja sifat-sifat yang perlu kita ketahui dalam mengerjakan soal.
Bentuk integral tak tentu soal nomor 4 diuraikan menjadi seperti dibawah ini.
Contoh soal integral tentu dan penyelesaiannya tutorial mata pelajaran matematika kali ini akan membahas soal soal tentang integral tertentu. Teori Singkat Integral Cermati rumus untuk integral dengan substitusi aljabar berikut cara panjang akan diberikan di pembahasan contoh soal. Hai semuanya kali ini rumushitung akan mengajak kalian untuk membahas beberapa soal atau latihan soal tentang integral baik integral tentu maupun tak tentu. Fungsi ini belum memiliki nilai pasti hingga cara pengintegralan yang menghasilkan fungsi tidak tentu ini disebut integral tak tentu. Bentuk integral tak tentu soal nomor 4 diuraikan menjadi seperti dibawah ini.
Source: dikdasmen.my.id
Hasil integral tak tentu 12 3 6x 2 x dx. Selamat berlatih mengerjakan soal-soal latihan dan semoga semakin mantap tingkat penguasaan Anda terhadap materi pelajaran mengenai sifat-sifat integral tak tentu. Diketahui persamaan percepatan at t2 1 dan kecepatan v0 6. Pertama menggunakan sifat dan yang kedua menggunakan trik cepat. A b f x g x d x.
Uji Kompetensi Berisi soal-soal untuk menguji pemahaman konsep dan penalaran siswa dalam menyelesaikan suatu permasalahan integral tak tentu MODUL KELAS XI SMA INTEGRAL TAK TENTU viii 1. Dengan c adalah konstanta. Rumushitung akan menilai kalian apakah kalian sudah paham benar materi integral ini. Jika diketahui akar tiga tiga.
Oleh karena itu integral disebut juga anti diferensial.
Donbull Apr 17 2021. Menghayati dan mengamalkan ajaran agama yang dianutnya 2. Int left -3x2 4x-5 right dx 5. Anda dapat menggunakannya sebagai bahan belajar dan untuk bahan latihan saat.
Source: soalujian-02.blogspot.com
Diketahui persamaan percepatan at t2 1 dan kecepatan v0 6. Penyelesaian soal pembahasan. Anda dapat menggunakannya sebagai bahan belajar dan untuk bahan latihan saat. Ingat definisi integralnya kalau ada color red f x ax n maka displaystyle color red int f x dx frac a n1.
Source: ensiklopediilmupopuler610.blogspot.com
Cara membaca integral tak tentu. Teori Singkat Integral Cermati rumus untuk integral dengan substitusi aljabar berikut cara panjang akan diberikan di pembahasan contoh soal. Sebelum masuk pada contoh soal dan pembahasannya saya mengulas sedikit tentang pengertian dari integral tentu dan apa saja sifat-sifat yang perlu kita ketahui dalam mengerjakan soal. 2012-10 halaman 2 07.
Source: kumpulansoal-113.blogspot.com
Contoh soal integral tentu dan penyelesaiannya tutorial mata pelajaran matematika kali ini akan membahas soal soal tentang integral tertentu. Soal No6 Tentukan hasil dari. Jika fx 1 - 2x maka fx. Agar kamu semakin mahir coba selesaikan soal dibawah ini menggunakan dua cara.
Pada postingan kali ini saya akan memposting tentang Integral Tentu.
Diketahui persamaan percepatan at t2 1 dan kecepatan v0 6. Integral adalah kebalikan dari turunan diferensial. Pernyataan yang benar adalah. 12x 3 6x 2 x dx 12x 3 dx 6x 2 dx x dx. Dengan c adalah konstanta.
Source: cute766.info
Soal Nomor 9. Ada 2 macam integral yaitu integral tentu dan integral tak tentu. Notasi integral fx fungsi integran Fx fungsi integral umum yang bersifat Fx fx c konstanta pengintegralan. Integral Tak Tentu Integral tak tentu atau kadang juga sering disebut dengan istilah Antiderivatif merupakan suatu bentuk operasi pengintegralan suatu fungsi yang menghasilkan suatu fungsi baru. Untuk lebih memahami materi mengenai integral tak tentu mari kita simak dan kerjakan beberapa contoh soal di bawah ini.
Integral Tak Tentu Integral tak tentu atau kadang juga sering disebut dengan istilah Antiderivatif merupakan suatu bentuk operasi pengintegralan suatu fungsi yang menghasilkan suatu fungsi baru.
Turunan x 2 3x 5 adalah 2x 3. Oleh karena itu integral disebut juga anti diferensial. Seandainya Anda merasa perlu untuk mempelajari ulang materi pelajaran ini silakan melakukannya. 7 Hasil dari adalah.
Source: duniabelajar-3.blogspot.com
A b f x g x d x. Seandainya Anda merasa perlu untuk mempelajari ulang materi pelajaran ini silakan melakukannya. Menentukan Luas Daerah di bawah sumbu-x. 12x 3 6x 2 x dx 12x 3 dx 6x 2 dx x dx.
Source: encrypted-tbn0.gstatic.com
Integral adalah kebalikan dari turunan diferensial. Soal Nomor 9. Agar kamu semakin mahir coba selesaikan soal dibawah ini menggunakan dua cara. Menentukan Luas Daerah di bawah sumbu-x.
Source: youtube.com
Contoh soal integral tentu dan penyelesaiannya tutorial mata pelajaran matematika kali ini akan membahas soal soal tentang integral tertentu. Integral tentu adalah integral yang diberi batas atas dan bawah. Contoh Soal dan Pembahasan. Notasi integral fx fungsi integran Fx fungsi integral umum yang bersifat Fx fx c konstanta pengintegralan.
Integral tentu adalah integral yang diberi batas atas dan bawah.
Soal Latihan Sifat Integral Tak Tentu. Demikian beberapa latihan soal integral tentu integral tak tentu integral parsial beserta pembahasannya. Seandainya Anda merasa perlu untuk mempelajari ulang materi pelajaran ini silakan melakukannya. A b f x g a d x g a a b f x d x. Untuk lebih memahami materi mengenai integral tak tentu mari kita simak dan kerjakan beberapa contoh soal di bawah ini.
Source: encrypted-tbn0.gstatic.com
Sebelum masuk pada contoh soal dan pembahasannya saya mengulas sedikit tentang pengertian dari integral tentu dan apa saja sifat-sifat yang perlu kita ketahui dalam mengerjakan soal. Semoga soal ini dapat membantu adik-adik dalam mengerjakan dan memahami bentuk soal Turunan matematika. Teori Singkat Integral Cermati rumus untuk integral dengan substitusi aljabar berikut cara panjang akan diberikan di pembahasan contoh soal. Kemudian dikalikan dengan turunan yang di dalam kurung. Sekian dari rumuspintar selamat belajar.
Integral tentu yaitu integral yang nilainya tertentu sedangkan integral.
Rangkuman Berisi intisari dari materi integral tak tentu fungsi aljabar h. Jika f berupa integral tak tentu. A b f a g x d x. Ada 2 macam integral yaitu integral tentu dan integral tak tentu.
Source: duniabelajar-3.blogspot.com
Anda dapat menggunakannya sebagai bahan belajar dan untuk bahan latihan saat. Pernyataan yang benar adalah. Diketahui persamaan percepatan at t2 1 dan kecepatan v0 6. Demikian beberapa latihan soal integral tentu integral tak tentu integral parsial beserta pembahasannya. 12x 3 6x 2 x dx 12x 3 dx 6x 2 dx x dx.
Source: duniabelajar-3.blogspot.com
B afx gxdx b afxdx b agxdx. Sekian dari rumuspintar selamat belajar. B afx gxdx b afxdx b agxdx. Latihan Soal Integral Tentu dan Tak Tentu. Teori Singkat Integral Cermati rumus untuk integral dengan substitusi aljabar berikut cara panjang akan diberikan di pembahasan contoh soal.
Source: slideplayer.info
Hasil integral tak tentu 12 3 6x 2 x dx. Jika f berupa integral tak tentu. Demikian beberapa latihan soal integral tentu integral tak tentu integral parsial beserta pembahasannya. Menghitung Luas Daerah Menentukan Luas Daerah diatas sumbu-x. Hasil integral tak tentu 12 3 6x 2 x dx.
Situs ini adalah komunitas terbuka bagi pengguna untuk mencurahkan apa yang mereka cari di internet, semua konten atau gambar di situs web ini hanya untuk penggunaan pribadi, sangat dilarang untuk menggunakan artikel ini untuk tujuan komersial, jika Anda adalah penulisnya dan menemukan gambar ini dibagikan tanpa izin Anda, silakan ajukan laporan DMCA kepada Kami.
Jika Anda menemukan situs ini bermanfaat, tolong dukung kami dengan membagikan postingan ini ke akun media sosial seperti Facebook, Instagram dan sebagainya atau bisa juga bookmark halaman blog ini dengan judul latihan soal integral tak tentu dengan menggunakan Ctrl + D untuk perangkat laptop dengan sistem operasi Windows atau Command + D untuk laptop dengan sistem operasi Apple. Jika Anda menggunakan smartphone, Anda juga dapat menggunakan menu laci dari browser yang Anda gunakan. Baik itu sistem operasi Windows, Mac, iOS, atau Android, Anda tetap dapat menandai situs web ini.





